了解卷积了解神经网络数据预处理了解CNN了解优化器了解ImageDataGenerator 进行预测并计算准确性 demo什么是卷积? 在数学(尤其是泛函分析)中,卷积是对两个函数(f 和 g)进行的数学运算,用于创建第三个函数,该函数...
1。什么是机器学习? 为了实现人工智能,我们通常会使用机器学习。我们有多种用于机器学习的算法。例如: Find-S 算法 决策树 随机森林 人工神经网络 一般来说,有 3 种学习算法: 1、有监督机器学习算法都是用来做预测的。此外,该算法还...
字数超出限制了...
卷积神经网络的发展主要是为了解决人类视觉问题,但现在也用于其他方向。开发流程主要从Lenet5->Alexnet->VGG->GooLenet->ResNet等开始。 ,并且是在20世纪90年代才实施的。 1998年...
众所周知,深度学习在实时视频通信系统中有很多应用。比如我们用它来做超分辨率,可以达到更好的效果;我们用它来恢复图像也可以获得更好的效果。如果我们谈论挑战,在支持移动终端的应用程序中,我们必须考虑复杂性的限制。它应该是一个真正可以在移动平台...
加载数据首先我们需要下载数据。 Tensorflow为我们提供了可下载的功能。这个函数read_data_sets这个函数函数read_data_sets很简单。检查目录中的文件并下载它们。如果有,分析并加载它们。一方面,方便我们获取数据。...
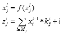
深度学习 近年来,该算法由于能够区分卷积神经网络的特征而再次流行。其实它在很多年前就已经出现了,但是由于深度学习的计算复杂性,它并没有得到广泛的应用。 一般情况下,卷积层的计算形式为:,其中x对应当前卷积层中的j特征和♶i。上一层。特征;...
总结了深度学习过拟合的原因及解决方案,包括正则化、dropout等操作,可作为工程中的开发指南。神经网络通过大量参数模拟各种任务,可以拟合各种复杂的数据集。这种独特的能力使他们能够在“传统”机器学习时代难以实现的许多领域表现出色——例如图像...
为什么视频编解码器很重要? 大家都知道,从技术难度上来说,视频编解码并不是对称的,编码器比解码器复杂很多。那么机器学习可以对编码进行哪些优化呢? 目前大家讨论的三种编码标准是:一种是MPEG组织的,一种是从VP9到AV1的开源且免版权税的,...
什么是人工智能? 我看过很多博客解释什么是AI,但我不认为它像一句话和一张图片那么简洁和清晰。 让机器完成只有人类才能完成的任务。这个操作就是人工智能。 下图是让机器模拟人类各种能力的人工智能领域示意图:(我在浏览知乎时找到了这张图,标题贴...