C语言源代码:求二叉树的宽度和深度
C语言求二叉树的宽度和深度
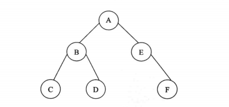
![]()
源代码如下:
#include <stdio.h>#include <stdlib.h>typedef struct Tree {char ch;struct Tree *left;struct Tree *right;} Tree;typedef struct queNode {Tree *p;int lno; //层号信息} queNode;//求宽度void GetMaxHW(Tree *root){queNode Q[100];Tree *q = NULL;int frontQ = 0, rearQ = 0;int Lno;if (!root) return;Q[++rearQ].p = root;Q[rearQ].lno = 1;while(frontQ != rearQ) {q = Q[++frontQ].p;Lno = Q[frontQ].lno;if (q->left != NULL) {Q[++rearQ].p = q->left;Q[rearQ].lno = Lno + 1;}if (q->right != NULL) {Q[++rearQ].p = q->right;Q[rearQ].lno = Lno + 1;}}// Lno 为深度int width = 0;for (int i = 1; i <= Lno; i++) {int num = 0;for (int j = 1; j <= rearQ; j++) {if(Q[j].lno == i) {num++;}}if (num > width) {width = num;}}printf("height = %d, width = %d\n", Lno, width);}Tree *newNode(char ch){Tree *t = (Tree *)malloc(sizeof(Tree));t->ch = ch;t->left = t->right = NULL;return t;}Tree *create(){char ch;ch = getchar();Tree *node = NULL;if (ch == '#') {node = NULL;} else {node = newNode(ch);node->left = create();node->right = create();}return node;}void preOrder(Tree *root){if (root) {printf("%c ", root->ch);preOrder(root->left);preOrder(root->right);}}void inOrder(Tree *root){if (root) {inOrder(root->left);printf("%c ", root->ch);inOrder(root->right);}}void postOrder(Tree *root){if (root) {postOrder(root->left);postOrder(root->right);printf("%c ", root->ch);}}int main(){Tree *root = create();printf("preOrder: "); preOrder(root);printf("\n");printf("inOrder: "); inOrder(root);printf("\n");printf("postOrder: "); postOrder(root);printf("\n");GetMaxHW(root);printf("\n");return 0;}
编译运行:
[root@localhost tree]# ./TreeHWABC##D##E#F##preOrder: A B C D E FinOrder: C B D A E FpostOrder: C D B F E Aheight = 3, width = 3
版权声明
本文仅代表作者观点,不代表Code前端网立场。
本文系作者Code前端网发表,如需转载,请注明页面地址。
code前端网