前序二叉树遍历树遍历的C语言代码示例
1。遍历简介:
树是一种非线性数据结构。当我们获取数据时,我们需要计划演练。所谓遍历,就是遵循一定的规则。数据结构中的所有信息都是按顺序访问的,二叉树本身没有自然的全局顺序。因此,为了实现遍历,必须通过在每个节点及其子节点之间就某个局部顺序达成一致来隐式定义某个全局顺序。这是我们经常调整的前、中、后关。
在开始之前,记住以下三句话:
前序遍历:左、右
中序遍历:左、右
后序遍历:❙2左、右。前序遍历:
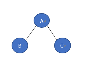
前序遍历是指在使用二叉树的节点时先先根,再左,再右的方法。要获得最简单的访问,如图所示,预购一个演练,访问顺序是 A、B、C
![]()
但实际使用演练却没有那么简单。它通常是由多个嵌套节点组成的二叉树。
如图所示,在访问遍历时我们首先访问根节点A,然后访问左节点B。由于左节点有多个嵌套节点,所以左节点作为根节点下一个节点,所以我们继续沿着B。另外,由于 D 包含一组新的节点,因此仍使用 D 作为根节点,并再次使用 E。由于E没有后续节点,因此将E作为E的最左边节点,将D作为根。访问结束后访问F,当这组访问完成后,返回访问G...
访问规则如下:此二叉树访问序列的前序遍历为:ABDEFGCH
![]()
3 。代码实现
接上面的代码,实现前序遍历的思路很简单,只需要熟练运用“递归”即可。
//前序树遍历。前序遍历 (节点!= NULL) { printf("%d"de) ; 有序(节点->左); ? ,我们日常的运算表达式通常有以下形式,称为中缀表达式,即运算符位于操作数的中间。这样的表达式对于人类来说很容易识别并基于它进行计算,但是计算机却很难识别这样的表达式。 |
版权声明
本文仅代表作者观点,不代表Code前端网立场。
本文系作者Code前端网发表,如需转载,请注明页面地址。
code前端网