单链表解题思维VS leetcode 最常见的相关题型
1.概念
链表由一组由指针连接的分散节点组成。每个节点包含当前节点和任何后续指针的内容。与数组相比,它不受存储空间的限制,可以更快地执行插入和删除操作。主要有以下几种:
1。单链表
指针指向下一个节点,端点为null![]()
2。双链表
指针指向上一个和下一个节点![]()
3。循环链表
最后一个节点指向第一个节点 ![]()
解决链表如果遇到问题,先做三步,然后写代码
- 定义链表为解决问题
- 画个图来理清思路
- 定义边界条件
与数组不同,JS官方并没有提供。 a
const head = {
data: 1,
next: {
data: 2,
next: null,
},
};
2.leetcode最常见的相关题型
1.合并两个已排序的链表
将两个升序链表合并为一个新的升序链表并返回。新的链表由合并两个指定链表的所有节点组成。
![]()
示例:
输入: l1 = [1,2,4], l2 = [1,3,4]
输出: [1,1,2,3,4,4]
步骤:
- 解决问题的链表类型是唯一链表
- 想法:
- 想法:和
l2增加按顺序,所以l1.val和和和组合是列表中的最小值l2.val❝。 依次重复大小节点的比较,直到l1l2的所有条件都null重复为链接列表: null停止并下一个指向另一个链表
var mergeTwoLists = function(l1, l2) {
if (l1 === null) {
return l2
} else if (l2 === null) {
return l1
} else if (l1.val < l2.val) {
l1.next = mergeTwoLists(l1.next, l2)
return l1
} else {
l2.next = mergeTwoLists(l2.next, l1)
return l2
}
};
2. 环链表
如果给定一个链表,判断链表中是否存在环。如果链表中存在一个节点,连续跟随next指针可以再次到达,则链表存在环路。如果链表中有环则返回 true,否则返回 false。为了解决这个问题,必须使用内存O(1)
![]()
pos表示如果♼❀pos为,链表末尾加入链表的位置 -1 那么链表中就没有循环了
示例:
输入:head = [3,2,0,-4], pos = 1
输出:true // 链表中有一个环,其尾部连接到第二个节点
步骤:
- 要解决这个问题,链表类型 a ❙ Tortle and Hare 算法:使用快慢双指针,快指针走两步,慢指针走一步
- 如果链表中有环,那么两个速度不同的指针一定会相遇。从交汇点与链表头节点向下移动,在循环起点相遇
- 快指针
null停止,不存在循环 - 快慢指针指向同一个节点,有一个环
var hasCycle = function(head) {
if(!head || !head.next) return false;
let slow = head.next;
let fast = head.next.next;
while(slow !== fast ) {
if(!fast || !fast.next) return false;
slow = slow.next;
fast = fast.next.next;
}
return true
}
3,反向链表
给出单链表的头节点♼
var isPalindrome = function (head) {
const res = []
while (head) {
res.push(head.val);
head = head.next
}
let pre = 0;
let last = res.length - 1;
while (pre < last) {
if (res[pre] !== res[last]) return false;
pre++;
last--;
}
return true
}
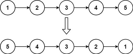
,请使用迭代或递归来反转链表,返回反转链表
![]()
示例:
输入: head = [1,2,3,4,5]
输出: [5,4,3,2,1]
步骤:
- 解决问题的链表类型:♸迭代思路
- 将单链表中每个节点的后代指针指向前一个节点。但是
var reverseList = function(head) {
if(!head || !head.next) return head;
let prev = null;
let cur = head;
while(cur) {
const curNext = cur.next;
// 反转后赋值给prev指针
cur.next = prev;
prev = cur;
// 链接到下一个节点
cur = curNext;
}
return prev
};
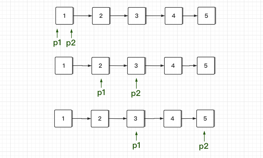
4。链表的中间节点
给定一个非空的单向链表,以头节点为头节点,返回链表的中间节点,如果有两个中间节点,则返回第二个中间节点( number 给定链表中的节点数在 1 到 100 之间)
示例:
输入: [1,2,3,4,5]
输出: 3
输入: [1,2,3,4,5,6]
输出: 4
步骤:
- 用于解决此问题的链表类型是唯一链表。 p1 的慢指针的两倍,因此当 p2 到达链表末尾时,p1 正好走了一半并指向链表的中点。
- 同下题
![]()
- 边界条件:
- 如果快指针指向
空,则慢指针正好在中间位置
- 如果快指针指向
var middleNode = function(head) {
if(!head || !head.next) return head;
let slow = head;
let fast = head;
while(fast && fast.next) {
slow = slow.next;
fast = fast.next.next;
}
return slow
};
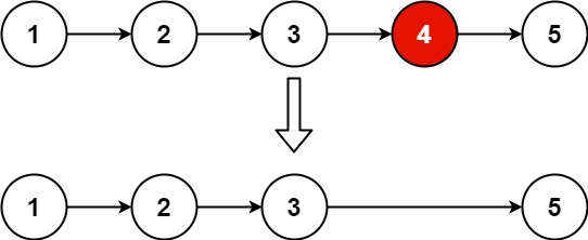
❝。删除链表底部第n个节点
给定一个链表,删除最后一个链表中的第n个节点,并返回链表的头节点
![]()
示例:
输入:head = [1,2,3,4,5], n = 2
输出:[1,2,3,5]
步骤:
- 链表类型解决问题唯一链表
- 思路:
- 使用一次快速指针后,遍历n个节点,两个指针互相返回,直到快速指针指向零。目前慢指针为倒数第n个节点
- 添加哨兵处理第n个节点
- 边界条件:
- 当快指针指向慢指针的位置
- 时,慢指针的
指针是从底部开始第n个节点
- 时,慢指针的
const removeNthFromEnd = function (head, n) { // 哨兵 let preHead = new ListNode(0) preHead.next = head let slow = preHead; let fast = preHead; // 先走n步 while (n--) { fast = fast.next } // 一起走 while (fast && fast.next) { fast = fast.next slow = slow.next } slow.next = slow.next.next return preHead.next; };6。回文链表
指定唯一链表的主节点的头。请判断该链表是否为回文相关列表。如果是,则返回true;否则返回 false

示例: 输入: head = [1,2,2,1] 输出: true步骤:
- 解决这个问题,链表的类型是唯一链表
- 思路:
- 使用数组将链表转入数组设置前面而后指针, before 和 after 指针必须相同。如果不同,则不是回文。
- 如果循环结束不返回false,则为回文。
- 边界条件:
- 前后指标不一样。给定两个唯一链表的头节点headA和headB,找到并返回两个单独链表相交的起始节点。问题数据保证整个链结构不存在环路。
注意:
- 函数返回结果后,链表必须保持原来的结构(必须复制一个新的链表)
- 如果两个链表不相交,则返回空值 程序试图满足✜ O(n)时间复杂度,仅使用O(1)内存

示例: 输入:intersectVal = 4, listA = [1,2,3,4,5], listB = [6,7,4,5], skipA = 3, skipB = 2 // 在 A 中,相交节点前有 3 个节点;在 B 中,相交节点前有 2 个节点 输出:Intersected at '4' // 相交节点的值为 4 (注意,如果两个链表相交则不能为 0)步骤:
- 解决问题的链表类型是单链表
- 思路:同上同上,求出链表AB的高度差并消除,交集就已知。以下长度必须相等
- AB 双指针同时前进。当短链表B的指针遍历完成时,双指针的长度差与双向链表的长度差完全相同。将指针B指向引用链表A的头结点,然后指向指针A。再次迭代,直到指针A遍历完成
- 同理,将指针A指向链表B的头节点。如果指针B向前移动,链表的高度差就消除了。等于
var getIntersectionNode = function (headA, headB) { if (!headA || !headB) return null; let pA = headA; let pB = headB; while (pA !== pB) { pA = pA !== null ? pA.next : headB; pB = pB !== null ? pB.next : headA; } return pA; }9,链表和
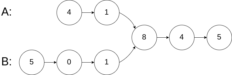
给定链表表示的两个整数,每个节点都包含一个数字,这些数字是倒序存储的,即每个数字的位置都在链表的开头。编写一个函数对两个整数求和,并将结果作为链表返回
示例: 输⼊:(7 -> 1 -> 6) + (5 -> 9 -> 2),即617 + 295 输出:2 -> 1 -> 9,即912步骤:
- 解决问题的链表类型是唯一链表
- 思路: 输出是一个新的链表,所以需要创建一个链表
- 由于是反向存储,链表是从数字开始的,大于十就进位
- 进位,首先考虑使用
进位存放部分进位,其余部分存放在创建的节点中
- 前后指标不一样。给定两个唯一链表的头节点headA和headB,找到并返回两个单独链表相交的起始节点。问题数据保证整个链结构不存在环路。
- 边界条件:
- 如果双向链表指向:
- 则遍历完成,
进位不为0,那么还要向前移动一位数字
- 如果双向链表指向:
const addTwoNumbers = function (l1, l2) { // 哨兵 let preHead = new ListNode(0) let carry = 0; let pre = preHead; while (l1 || l2) { let sum = 0; if (l1) { sum += l1.val l1 = l1.next } if (l2) { sum += l2.val l2 = l2.next } sum += carry carry = Math.floor(sum / 10) pre.next = new ListNode(sum % 10) pre = pre.next } if (carry > 0) { pre.next = new ListNode(carry) pre = pre.next } return preHead.next }进阶:思考⼀下,假设这些数位是正向存放的,⼜该如何解决呢? 输⼊:(6 -> 1 -> 7) + (2 -> 9 -> 5),即617 + 295 输出:9 -> 1 -> 2,即912 - 当快指针指向慢指针的位置
版权声明
本文仅代表作者观点,不代表Code前端网立场。
本文系作者Code前端网发表,如需转载,请注明页面地址。
code前端网